Un ejemplo de algoritmo
Abre el modelo ecuacion1.ods, que con él aprenderemos algunas técnicas nuevas. Si al iniciarse te pregunta si habilitas macros, responde que sí. En esta sesión comenzaremos la presentación de las macros, como instrumento útil de apoyo en el diseño de las hojas de cálculo.

Este es un ejemplo de la simplicidad y potencia de algunos algoritmos. Resuelve una ecuación de primer grado considerándola como función (es un mero artificio de cálculo), es decir, en la que se han pasando todos los términos al mismo miembro, igualando a cero y asignando una función al resultado.
Por ejemplo, para resolver la ecuación (x-3)/7 = x – 5 se convierte en la función y = f(x) = (x-3)/7 – x + 5 = 0
Para resolver la ecuación, se escriben dos valores de x a y b en las celdas D8 y D9 respectivamente (los valores que quieras), sobre los que se calculan los valores correspondiente de la función f(a) y f(b), (celdas F8 y F9, que escribirá el ordenador siguiendo unas instrucciones internas que ahora son invisibles para ti).
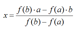
Una sencilla interpolación inversa nos despeja el valor de la solución de la ecuación:

Observa que la celda E12, la de la solución, contiene esta fórmula.
Este algoritmo sorprende al alumnado, y es tan sencillo de construir que lo pueden lograr en pocos minutos. Puede servir de Comprobador de soluciones previamente conseguidas con otros métodos. Tiene la ventaja de que no hay que simplificar las ecuaciones antes de escribirlas.
Consulta las instrucciones y resuelve alguna ecuación conocida.
Puedes seguir estos pasos:
En el papel, pasa todos los términos de la ecuación al primer miembro y usa lenguaje algebraico de ordenador. Así, para resolver la ecuación 5(x – 3) = 2x deberás considerar la expresión 5*(X-3)-2*X
Aquí vas a usar una técnica nueva para escribir la expresión. Observa que en la parte inferior de la pantalla ha aparecido un objeto nuevo, el botón
![]()
Si pulsas sobre ese botón, se abrirá una ventana de entrada ("inputbox"), en la que puedes escribir 5*(X-3)-2*X. Cuando pulses Aceptar, comprueba que lo que tú has escrito aparece como por arte de magia en las celdas F8 y F9 como fórmula. ¿Qué ha ocurrido? Que hemos usado una macro que el botón tenía asignada. En el siguiente apartado te la presentaremos.
Basta con leer el contenido de la celda E12 y ya has terminado de resolver la ecuación.
Si lees las instrucciones te darás cuenta de la posibilidad de alterar los valores de apoyo de las celdas D8 y D9 sin que se altere la solución (salvo algún redondeo). Prueba a cambiarlos.
