Ejercicio 3
Intensidad de campo eléctrico
Supongamos dos cargas eléctricas q1 y q2 situadas a una distancia de un metro. Deberás construir una gráfica que muestre cómo varía la intensidad del campo eléctrico a lo largo del segmento que une las dos cargas.
Para los no especialistas en este tema, recordamos:
La intensidad de campo eléctrico es un vector, pero como vamos a trabajar sobre un segmento, sólo consideraremos el módulo de un solo componente, prescindiendo de la dirección.
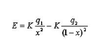
Si llamamos x a la distancia entre un punto del segmento y la carga q1, deberemos llamar (1-x) a la distancia a q2.
donde K = 9*109 N.m2/C
Como sólo nos interesa la forma de la gráfica, prescindiremos de K y realizaremos la gráfica de q1/x2 - q2/(1-x)2 en su valor absoluto.
Procedimiento a seguir:
Prepara dos celdas para escribir en ellas los valores de las cargas (positivos o negativos)
| Q1 | 5 |
| Q2 | <2 |
Después, rellena una columna, por ejemplo con 18 valores equidistantes entre 0 y 1, pero sin incluirlos, para evitar "infinitos": 0,05 0,1 0,15 ... 0,9 0,95
En la columna de su derecha, programa la fórmula de la intensidad respecto al valor de la izquierda. Algo como esto (adapta tus datos)
=ABS($E$6/B11^2-$E$7/(1-B11)^2
Hemos tomado valor absoluto, pero no es necesario. Puedes estudiar los signos y te resultará una gráfica distinta. Deberá resultarte, si escribes los datos q1 = 5 y q2 = 2, esta tabla:
| X | E |
0,05 |
1997,78 |
0,1 |
497,53 |
0,15 |
219,45 |
… |
… |
0,9 |
193,83 |
0,95 |
794,46 |
y desde ella deberá construir un gráfico X-Y parecido a este (sigue los pasos del ejercicio anterior):

